It’s nearly midnight on a Tuesday evening and after an unusual set of events I find myself calculating how many Pringles you could fit into Crossrail.

Let me fill you in on the background story…

Recently I’ve been working on a new micro-layout project. A proper blog about it will come soon, but all you need to worry about right now is the bridge/tunnel shown in the picture above.

I discovered that a cut up Pringles can provided the perfect tunnel wall shape for the bridge.
Nothing unusual yet, just a bit of creative problem solving from a modeller… But being the funny b*stard that I am, I posted the following tweet:
https://twitter.com/AndyPCarter/status/577513401599057920
This proved to be very popular, and whilst I wouldn’t say it went ‘viral’ by any means, a combination of 28 retweets and favourites is probably something of a personal best.
It even prompted a couple of comments, the most intriguing of which was from Harold from @MODRATEC – a small model railway company operating out of Brisbane in Australia. He said:
https://twitter.com/modratec/status/577932629367877632
Crossrail promises to be, my condescending jibes aside, one of the most advanced tunnelling projects the world has ever seen. Many trials, challenges and tribulations will be asked and solved by it’s 10,000 strong work force. But I seriously doubt any of them have asked ‘ere, How many Pringles can we fit in this thing?!’
So Here Goes…
OK, first I need to make some assumptions, and fix down a few variables:
- Let’s assume the Pringles remain in their packaging for the duration of this problem.The reason for this is two-fold:
Firstly the shape of a Pringle chip is complex, and whilst they are all of uniform dimensions which is certainly helpful, we’re going to have to come up with a forumla to find their volume. Far too difficult and beyond my C in A-Level Maths I acquired and forgot about 8 years ago. The Pringles tube however is a cylinder and has an easy formula for volume (Pi x r^2 x l).
Secondly, we know roughly how many Pringles fit in a can. After some internet research it is claimed in advertising that you get on average 90 chips per 190g can (that’s the big ones). There’s even a YouTube clip of an American girl counting how many individual crisps there are. She get’s to 100, but let’s assume American packaging is probably bigger… For the sake of this thought experiment taking place entirely in the UK, with a UK Tunnelling project, let’s also assume UK Pringles packaging.
Of course I could count how many Pringles are in a can myself, but that would involve eating them after and actually… I don’t really like them… For the sake of this I will trust that it is around 90.
- Let’s also assume that the Crossrail tunnels are completely empty. That is, no track bed lain or signals installed, cables run, or anything that could otherwise get in the way of me filling it up with Pringles cans. (After all Harold hasn’t specified when in the construction process this thought experiment is taking place!).
- Lastly, let’s also disregard any station, service or interconnecting maintenance infrastructure. Whilst the term ‘Crossrail’ should really encounter the whole underground space, let’s try and keep it reasonably easy for me right?
Key stats:
|
Pringles |
Crossrail |
| Diameter (d) |
75mm |
6200mm (6.2m) |
| Length (L) |
266mm |
42000000mm (42km)** |
| Average no. of Pringles |
90 |
/ |
| Cost |
£2.48* |
£14.8bn |
*As of 18/03/15 price in Tesco and ASDA.
**This includes both branches to Stratford and Abbey Wood
Calculating
Let’s get down to business. Let’s assume we’re going to lay the Pringle Cans flat and not stand them up vertically as you would find them in the shop. I’m pretty sure we’ll get more in that way…

Firstly I need to work out how many Cans (n) fit into a cross section of tunnel.
THANKFULLY, the internet has done a calculation for fitting stuff in other stuff, so I don’t have to. This is often referred to as a ‘Packing Problem’. You can read more about fitting circles into circles here. In a practical application it’s often used to calculate how many cables you can fit in a multi-core or how many polo packets you can fit in the Dartford Crossing… As you can see there’s no easy one size fits all formula, but because of the real life practical applications someone out there has created an online calculator. Thank you to the good people at Engineering Tool Box.

n = 5346
So it turns out we can fit a whopping 5346* Pringles cans into a Crossrail-Cross-section.
5346 seems a lot doesn’t it? Try and visualise it though, in the diagram above you can see that the tubes are as tightly packed as possible. Also remember that the tunnel diametre is 6.2m. That’s probably bigger than a cross section of my flat!
*I should point out that fitting circles into circles has only actually been mathematically proven up to 2600 units, so do treat these figures with a pinch of salt.
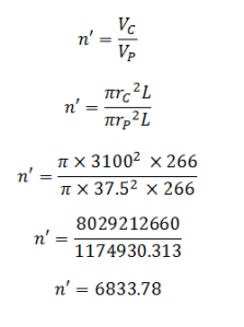
However, we can prove we’re roughly in the right ball park by dividing the volume of a Crossrail Tunnel section (VC) with the volume of an individual Pringles Can (VP):

This brings the number of Pringles Cans in a cross section up by over 1000, which seems dramatic and makes Engineering Tool Box’s calculator seem inaccurate. But remember, (n’) is the total Pringles Cans we could fit into a cross section perfectly without remainder. Since circles/cylinders don’t tessellate we’ll never be able to completely fill the cross section in this way and there’ll actually be a lot of wasted space in between the Cans. Wasted space to the tune of over 1000 Cans? Well, that sounds about right actually…
I’ll therefore trust Engineering Tool Box’s calculation of n = 5346.

So now we know how many cans we can get in a cross section, we need to know how many cross sections we can get in the entire tunnel. We know the length of a Pringles Can occupying 1 cross section (L) is 266mm. We also know the total tunnelling (t) equates to 42km therefore to find the total number of Pringles Cans in Crossrail (x):

You could get a whopping 844 million cans of Pringles in Crossrail!
So with 90 chips per can… How many Pringles could you fit into Crossrail? Answer:
= 75,969,473,684
That’s nearly 76 Billion Pringles!

Some additional fun:
To fit 76 billion Pringles in Crossrail it would cost you £2,093,381,052.63 in Pringles

… that equates to £49.8m of Pringles per km…

…or the same GDP as San Marino.

If you stacked the Pringles Cans on top of each other you’d build a tower 224,532km high. That’s just over half way to the moon.
All those Pringles would weigh 160,380 tonnes…

…that’s the equivalent to 12,679 New Routemaster Buses or 891 Tube Trains (Central Line).

If it took you 4 seconds to eat a single Pringle it would take Crossrail’s entire 10,000 strong team 352 days* to eat their way through the tunnels.

If you did it solo it would take over 9000 years of continuous eating!
References:
Crossrail Facts
Engineering Tool Box
Packomania
Matthew Dehgan
Crossrail Logo: By SVG by @assanges ‧ talk – meta – enwp – zhwp – wmhk (Transport for London – [1]) [Public domain], via Wikimedia Commons
San Marino: By Zscout370 (Own work: http://www.consigliograndeegenerale.sm) [Public domain], via Wikimedia Commons
92 Stock: By tompagenet (Tom Page) (http://www.flickr.com/photos/tompagenet/303824827/) [CC BY-SA 2.0], via Wikimedia Commons
Moon: By Gregory H. Revera (Own work) [CC BY-SA 3.0 or GFDL], via Wikimedia Commons
*thanks knighty for correcting me on that one